Bullhead City's Queer Sanctuary Takes Root
Mystic Energies Healing has grown from a local storefront into a national hub for LGBTQ connection and spiritual healing.
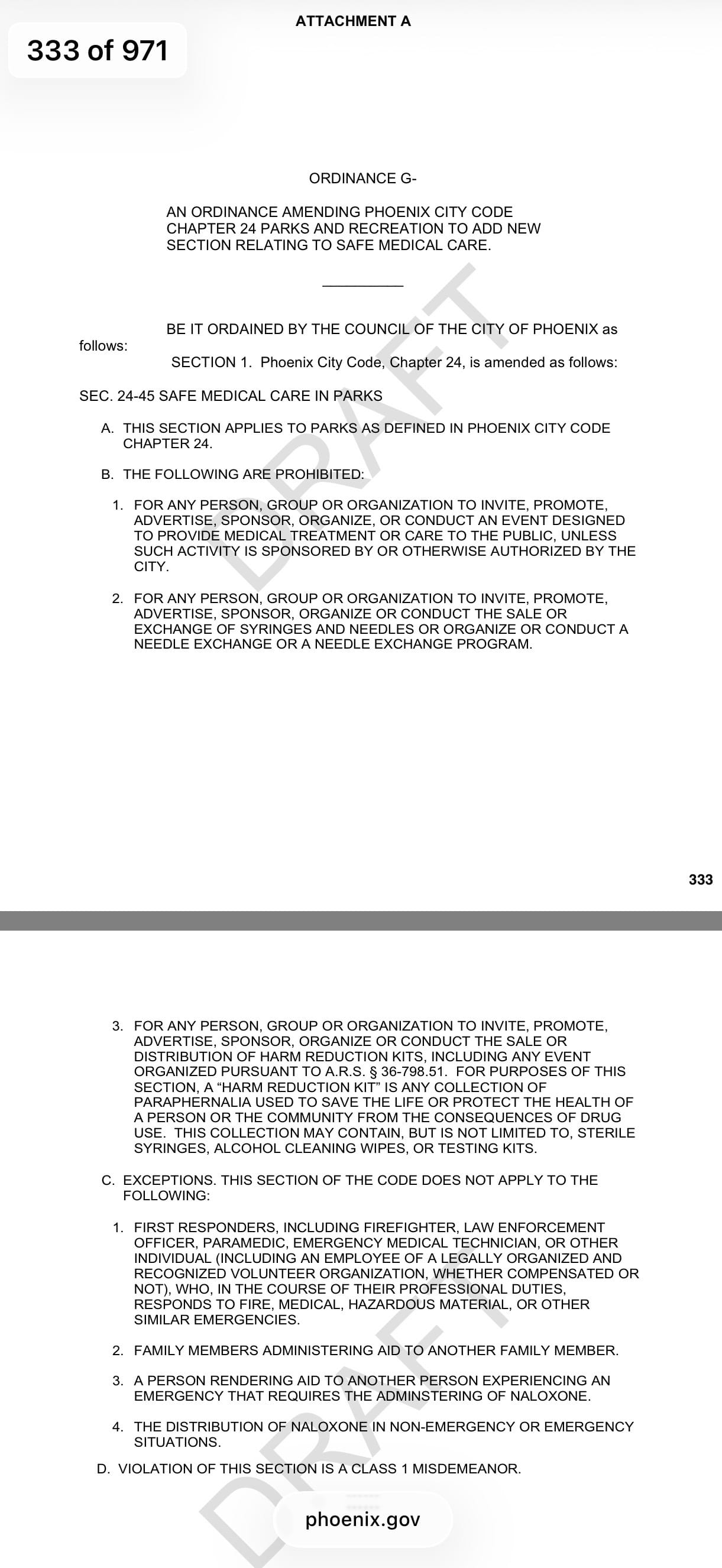
An initial draft of the proposal to LOOKOUT revealed sweeping changes to how community orgs can provide harm-reduction supplies and testing at city parks.
Phoenix City Council will address a proposal to prohibit handing out drug-testing kits and provide HIV testing in parks at their Dec. 17 council meeting.
The city council released their meeting agenda on Thursday evening, which included an updated version of a proposal that was originally leaked to LOOKOUT and had far-reaching prohibitions for all organizations — including city-run programs — to provide medical care in parks.
The ordinance would bar any “person, group or organization” from inviting, promoting, advertising, sponsoring or organizing an event intended to provide medical treatment or care to the public. It would also prohibit the exchange of syringes and needles, the operation of needle-exchange programs, and the distribution of harm reduction supplies such as alcohol wipes or drug-testing kits.
That original draft has been updated to carve out allowances for city-run programs that are sponsored or authorized by the city, but penalizes others who provide such care with a Class 1 misdemeanor.
The new wording has raised concerns among public health and civil rights advocates. Because the proposed ordinance would criminalize items such as alcohol sanitation pads and drug-testing kits, advocates worry police could use it to levy criminal charges against people carrying those items without evidence of intent. They point to similar instances in which Phoenix police have used the city’s indecent conduct ordinance to arrest people accused of — but not caught in the act of — prostitution.
Others say that the wording of the ordinance, which prohibits providing "medical treatment or care" is too vague – and could rope people in who are providing community care for the unhoused, such as passing out food or water. It's not unfounded: last year in Tempe, the leader of a community organization was arrested for providing food to unhoused people at a local park.
"I think this is overall very concerning that this is a direction we’re going as a city," said Councilwoman Anna Hernandez, who represents District 7. "I was caught very off guard that we are going to have this discussion and vote on these items."
Those close with members of city council said Hernandez, a Democrat, is the only sitting member who opposes the ordinance as its written, which is set to be discussed at the Dec. 17 City Council meeting, scheduled for 2:30 p.m.
It remains unclear which council member introduced the proposal, but Hernandez said she was made aware of the ordinance "weeks ago," but didn't receive any language on it until recently.

Public health groups say the measure could have dire consequences for organizations that use public spaces to provide harm reduction services. The draft includes an exception for medical personnel and first responders acting in their official capacity, as well as family members and anyone delivering naloxone — the opioid overdose reversal drug — to someone in need.
Health organizations say the rule would force significant setbacks to harm mitigation strategies, including mobile testing units or pop-up testing in parks, as well as festivals held in public parks, including LGBTQ+ festivals that focus on HIV and STI care and treatment.


It would also affect other LGBTQ+-focused community organizations that provide basic harm reduction services, such as drug-testing strips to detect fentanyl or alcohol pads and clean needles.
But city-run programs would remain safe, such as Phoenix’s efforts as a Fast-Track City, a global health initiative that aims for 95% of residents living with HIV to know their status, be on treatment and reach viral suppression by 2030.
Council members Laura Pastor and Debra Stark, who both serve on the Fast Track Ad Hoc Committee initiative and were the original signatories on the initiative, did not respond to emails from LOOKOUT requesting additional information on the drafted or final policy.
Additional reporting by Tori Gantz
Updated Dec. 13, 9:57 a.m.
An earlier version of this article misstated the time that the Phoenix City Council will decide on the ordinance. It will be on Dec. 17 at 2:30 p.m., not 10 a.m. We regret the error.
At LOOKOUT, we believe in the power of community-supported journalism. You're at the heart of that community, and your support helps us deliver the news and information the LGBTQ+ community needs to thrive.
LOOKOUT Publications (EIN: 92-3129757) is a federally recognized nonprofit news outlet.
All mailed inquiries can be sent to 221 E. Indianola Ave, Phoenix, AZ 85012.